1 класс
Русский язык
Математика
Литературное чтение
Английский язык
Окружающий мир
2 класс
Русский язык
Математика
Литературное чтение
Английский язык
Окружающий мир
3 класс
Русский язык
Математика
Литературное чтение
Английский язык
Окружающий мир
4 класс
Русский язык
Математика
Литературное чтение
Английский язык
Окружающий мир
5 класс
Русский язык
Математика
Литература
›
5 класс
›
Математика
›
Мерзляк А. Г., Полонский В. Б., Якир М. С. Математика. Учебник. 5 класс
›
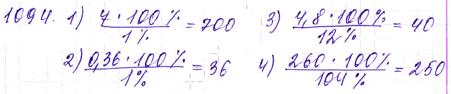
1094
Назад
Далее
- Задание 1094 -
Подробные решения 1094 задания учебника по математике авторов А.Г. Мерзляк, В.Б. Полонский, М.С. Якир для учащихся 5 класса.
Решебник №1
- Задание 1094 -
Назад
Далее